TRIBUNNEWS.COM - Dalam buku Fisika untuk SMA Kelas XI Kurikulum Merdeka, siswa telah mendapatkan materi terkait Gelombang, Bunyi, dan Cahaya.

Bab kelima dalam buku pelajaran Fisika untuk SMA/MA kelas 11 oleh Marianna Magdalena Radjawane dkk terbitan Kementerian Pendidikan tahun 2022 memberikan Difraksi Cahaya.

Asesmen dalam halaman 148 dan ini memberikan soal yang mencakup materi gelombang bunyi (Efek Doppler, pemantulan, intensitas) dan optika gelombang (interferensi, difraksi, kisi difraksi) yang dipadukan dengan analisis grafik dan perhitungan fisis.

Pada soal nomor 3 membahas tentang ambulans dan pengamat (bunyi).

Gelombang bunyi: Bunyi sebagai gelombang mekanik longitudinal.

Efek Doppler: Perubahan frekuensi bunyi akibat gerak relatif antara sumber bunyi dan pendengar.

Frekuensi bunyi terdengar: Perbedaan frekuensi saat sumber mendekat dan menjauh.

Pemantulan bunyi (gema/gaung): Bunyi pantul dari tembok yang kembali terdengar oleh pengamat.

Cepat rambat bunyi: Bunyi merambat di udara dengan kecepatan tertentu.

Pada soal nomor 4 terkait hubungan jarak dan taraf intensitas bunyi

Intensitas bunyi: Energi bunyi yang diterima per satuan luas.

Taraf intensitas bunyi (desibel): Skala logaritmik untuk mengukur kuat bunyi.

Hubungan jarak dan intensitas bunyi: Intensitas bunyi berkurang saat jarak dari sumber bertambah.

Hukum kuadrat terbalik: Intensitas berbanding terbalik dengan kuadrat jarak dari sumber bunyi.

Analisis grafik fisika: Menafsirkan grafik hubungan dua besaran fisis.

Sementara pada soal nomor 5 membahas celah ganda dan difraksi.

Gelombang cahaya: Cahaya sebagai gelombang elektromagnetik.

Interferensi cahaya (celah ganda Young): Pola terang–gelap akibat superposisi gelombang cahaya.

Panjang gelombang cahaya: Konsep λ pada cahaya monokromatik.

Orde terang dan gelap: Penentuan posisi terang maksimum dan gelap minimum.

Difraksi cahaya pada kisi difraksi: Penggantian celah ganda dengan kisi difraksi.

Resolusi dan kerapatan kisi: Hubungan jumlah garis per cm dengan sudut difraksi.

Baca juga: Kunci Jawaban Fisika Kelas 11 Halaman 147 Asesmen Bab 5 Kurikulum Merdeka

Asesmen

3. Siti bersepeda dengan kecepatan 10 m/s kemudian dari arah berlawanan sebuah ambulans mendekat dan kemudian melewati Siti dengan kecepatan 72 km/jam sambil membunyikan sirene dengan frekuensi 900 Hz. Jika cepat rambat bunyi udara adalah 330 m/s dan di depan ambulans terdapat tembok yang dapat memantulkan suara (anggap kecepatan suara tidak berubah), tentukan:

a. perbandingan frekuensi sirene yang terdengar oleh Siti saat ambulans mendekati dan menjauhi dirinya,

b. layangan bunyi yang didengar karena pantulan suara setelah ambulans melewati Siti.

4. Seorang peneliti melakukan pengukuran hubungan taraf intensitas bunyi suatu mesin di sebuah pabrik terhadap jarak pengamat. Berdasarkan hasil pengukuran diperoleh grafik sebagai berikut.

Dari data tersebut.

a. bagaimanakah hubungan jarak dan taraf intensitas bunyi

b. tentukan nilai intensitas mesin pada jarak 2 meter

c. tentukan taraf intensitas pada jarak 5 meter hingga ketelitian 0,01 dB

5. Pada percobaan celah ganda, digunakan sebuah laser dengan panjang gelombang 700 nm dan lebar antar celah 2 mm. Di seberang celah terdapat layar dengan jarak 2 meter. Dari percobaan tersebut, tentukan:

a. jarak pola terang kedua dari terang pusat,

b. jumlah orde terang maksimum yang masih dapat teramati di layar,

c. jarak pola terang kedua dari terang pusat, jika celah ganda diganti dengan kisi difraksi dengan ukuran 200 kisi/cm.

Pembahasan

3.  Diketahui: 

Kecepatan Siti, vp = 10 m/s
Kecepatan ambulans, vs = 72 km/jam = 20 m/s
Frekuensi sirene, f = 900 Hz
Cepat rambat bunyi, v = 330 m/s

Asesmen nomor 3 bab 5 Fisika kelas 11
FISIKA - Tangkapan layar Halaman 148 Asesmen Bab Gelombang, Bunyi dan Cahaya buku pelajaran Fisika untuk SMA/MA kelas 11 oleh Marianna Magdalena Radjawane dkk terbitan Kementerian Pendidikan tahun 2022.


4. 

FISIKA KELAS 11 - Tangkapan layar tautan Asesmen Bab Gelombang, Bunyi, dan Cahaya halaman 148 buku pelajaran Fisika untuk SMA/MA kelas 11 oleh Marianna Magdalena Radjawane dkk terbitan Kementerian Pendidikan tahun 2022.
FISIKA KELAS 11 - Tangkapan layar tautan Asesmen Bab Gelombang, Bunyi, dan Cahaya halaman 148 buku pelajaran Fisika untuk SMA/MA kelas 11 oleh Marianna Magdalena Radjawane dkk terbitan Kementerian Pendidikan tahun 2022. (Sibi Kemendikdasmen)

a. Dari grafik dapat disimpulkan bahwa semakin jauh pengamat dari sumber bunyi maka taraf intensitasnya semakin kecil

b. Intensitas bunyi pada jarak 2 meter adalah:

asesmen bab 5 4b fisika kelas 11
FISIKA KELAS 11 - Tangkapan layar tautan Asesmen Bab Gelombang, Bunyi, dan Cahaya halaman 148 buku pelajaran Fisika untuk SMA/MA kelas 11 oleh Marianna Magdalena Radjawane dkk terbitan Kementerian Pendidikan tahun 2022.

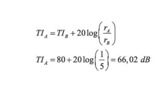
c. Menggunakan persamaan berikut:

asesmen bab 5 nomor 4c fisika kelas 11
FISIKA KELAS 11 - Tangkapan layar tautan Asesmen Bab Gelombang, Bunyi, dan Cahaya halaman 148 buku pelajaran Fisika untuk SMA/MA kelas 11 oleh Marianna Magdalena Radjawane dkk terbitan Kementerian Pendidikan tahun 2022.

5. Diketahui 

Panjang gelombang: λ=700 nm = 7 x 10-7 m
Jarak layar: L=2 m
Jarak celah: d=2 mm= 2 x 10-3 m

asesmen bab 5 nomor 5 fisika kelas 11
FISIKA KELAS 11 - Tangkapan layar tautan Asesmen Bab Gelombang, Bunyi, dan Cahaya halaman 148 buku pelajaran Fisika untuk SMA/MA kelas 11 oleh Marianna Magdalena Radjawane dkk terbitan Kementerian Pendidikan tahun 2022.

*) Disclaimer: 

(Tribunnews.com/Isti Prasetya)

Contact to : xlf550402@gmail.com


Privacy Agreement

Copyright © boyuanhulian 2020 - 2023. All Right Reserved.